
Na czym polega zjawisko kontrakcji? Zaskakujące zmiany objętości roztworu
Zjawisko kontrakcji to fascynujące zmiany objętości roztworu w chemii. Dowiedz się, jak oddziaływania międzycząsteczkowe wpływają na reakcje chemiczne.

Zjawisko kontrakcji to fascynujące zmiany objętości roztworu w chemii. Dowiedz się, jak oddziaływania międzycząsteczkowe wpływają na reakcje chemiczne.

Dowiedz się, jak powstaje piorun z perspektywy fizyki. Wyjaśniamy mechanizm wyładowań atmosferycznych, elektryzowanie chmur i rolę jonizacji powietrza.

Dowiedz się, jak skutecznie przygotować się do matury z biologii, uniknąć błędów i opanować kluczowe zagadnienia. Sprawdź najlepsze źródła i strategie nauki!

Ile punktów można zdobyć na maturze z biologii? Poznaj system punktacji, wymagania maturalne i porady, jak uniknąć błędów. Zdobądź wysokie wyniki!

Znajdź skuteczne materiały do nauki z fizyki na Chomikuj.pl. Test z fizyki jak opisujemy ruch chomikuj pomoże Ci zrozumieć ruch i przygotować się do egzaminów.

Dlaczego możemy obserwować zjawisko połysku włosów? Poznaj przyczyny i skuteczne metody, aby uzyskać naturalny blask. Sprawdź, jak pielęgnacja wpływa na połysk włosów!

Dowiedz się, co to jest katalizator w chemii, jak działa i jakie ma zastosowania. Poznaj przykłady katalizatorów oraz ich rolę w przyspieszaniu reakcji chemicznych.

Dowiedz się, jaki zeszyt do chemii i fizyki wybrać, aby notatki były czytelne i uporządkowane. Sprawdź, jakie cechy i funkcje ułatwią naukę przedmiotów ścisłych.

Sprawdź, jakie studia po biol chemie wybrać! Poznaj najlepsze kierunki po biologii i chemii oraz perspektywy zawodowe w medycynie i biotechnologii.

Czy rozszerzona biologia jest trudna? Sprawdź fakty, porady i opinie dla maturzystów. Dowiedz się, jak przygotować się do egzaminu i czy warto go zdawać.

Wzmocnij organizm przed chemią dzięki zdrowej diecie, suplementom i naturalnym sposobom na detoksykację. Ochrona organizmu przed toksynami to klucz do zdrowia.

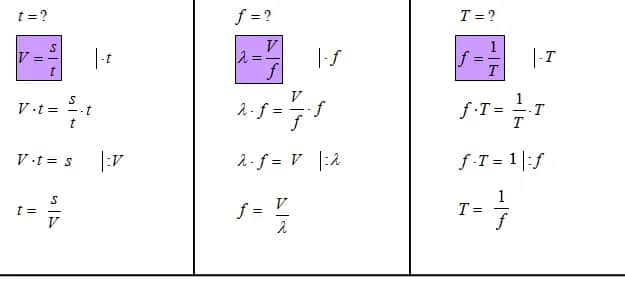
Dowiedz się, jak przekształcić wzór fizyka bez błędów – proste kroki, przykłady i wskazówki, które ułatwią rozwiązywanie zadań z fizyki.

Zrozum, czym polega zjawisko rezonansu mechanicznego i jak wpływa na bezpieczeństwo konstrukcji. Poznaj zastosowania rezonansu w inżynierii budowlanej.

Poznaj, jakie są zjawiska przyrodnicze, w tym zjawiska atmosferyczne, geologiczne i hydrologiczne. Dowiedz się o ich fascynujących i niebezpiecznych aspektach.

Jak nauczyć się biologii skutecznie? Poznaj sprawdzone metody, porady i najlepsze sposoby na naukę biologii, które pomogą Ci zdać egzaminy bez stresu.

Dowiedz się, na czym polega jonizacja atomu – prosty wyjaśnienie procesu, definicja i zastosowanie w nauce. Poznaj mechanizmy tworzenia jonów i ich znaczenie.

Zjawisko białych nocy to fascynujący fenomen przyrodniczy, który sprawia, że nocą nie zapada ciemność. Dowiedz się, na czym polega zjawisko białych nocy!

Co to jest totalna biologia? Poznaj definicję, założenia i praktyczne zastosowania tej metody. Dowiedz się, jak wpływa na zdrowie i psychikę oraz jakie kontrowersje wokół niej istnieją.

Dowiedz się, co to izotopy w chemii – definicja, rodzaje izotopów, ich właściwości i praktyczne zastosowania w medycynie, energetyce i badaniach naukowych.

Jak zdać maturę z fizyki na 100%? Poznaj sprawdzone strategie, zadania z rozwiązaniami i porady ekspertów, aby osiągnąć maksymalny wynik bez stresu i błędów.

Zjawisko fotoelektryczne to kluczowy proces w fizyce kwantowej, który wpływa na energię fotonów i ma wiele praktycznych zastosowań. Dowiedz się więcej!

Jak zjawiska społeczne oddziałują na reklamę? Poznaj wpływ trendów społecznych, zmian demograficznych i ekologii na strategie marketingowe oraz przykłady skutecznych kampanii.

Co to jest chemia? Poznaj definicję, zastosowania i znaczenie chemii w życiu codziennym. Dowiedz się, jak wpływa na zdrowie, technologię i środowisko.

Jaką chemię do basenu wybrać? Sprawdź opinie i porady z forum na temat najlepszych środków chemicznych. Dowiedz się, co polecają inni użytkownicy!

Dowiedz się, jak napisać referat z fizyki bez błędów – praktyczne porady, przykłady i struktura, które pomogą Ci stworzyć profesjonalną pracę.

Co to jest gen w biologii? Poznaj prostą definicję genu, jego funkcje w organizmie oraz rolę w dziedziczeniu. Dowiedz się więcej o DNA i podstawach genetyki.

Naucz się, jak narysować uproszczony model atomu krok po kroku. Odkryj zasady rysowania atomu i stwórz atrakcyjny rysunek atomu dla dzieci.