
Fizyka
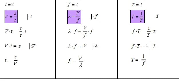
Dowiedz się, jak przekształcić wzór fizyka bez błędów – proste kroki, przykłady i wskazówki, które ułatwią rozwiązywanie zadań z fizyki.
Dowiedz się, jak przekształcić wzór fizyka bez błędów – proste kroki, przykłady i wskazówki, które ułatwią rozwiązywanie zadań z fizyki.